Soalan sebenar spm bahasa melayu bm 2019 kertas1 kertas 2 skema jawapan Kertas matematik tambahan 2 34722 mengandungi 15 soalan yang perlu dijawab dalam masa 2 jam 30 minit. Berikut dikongsikan Koleksi Soalan Percubaan SPM 2019 Trial Papers tahun 2019 dan tahun-tahun sebelumnya seperti tahun 2018 2017 beserta skema jawapan buat rujukan pelajar.


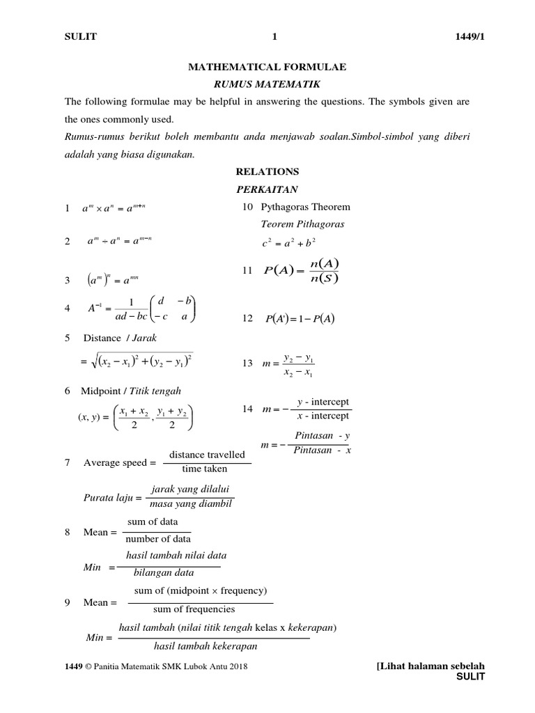
Formula Matematik 1449 Spm Pdf

Contoh Soalan Interview Pramugari.

Soalan matematik spm 2019 pdf. URL to the PDF file must be on exactly the same domain as the current web page. 2021-04 2020-04 dan 2019-04. Bank Soalan SPM Matematik adalah antara himpunan soalan-soalan yang berjaya kami sediakan untuk menjadi panduan dan rujukan kepada guru ibubapa dan pelajar.

PDF Colection of SPM BM Rangsangan dhanhesh lachanna. Soalan Spm 2019 Sejarah. Bab 4 nisbah kadar dan kadaran bab 5 ungkapan algebra bab 6 persamaan linear bab 7 ketaksamaan linear bab 8 garis dan sudut bab 9 poligon asas bab 10 perimeter dan luas bab 11.

2019 yangın 2019 yankees 2019 young guns 2019 yankees roster 2019 young voices songs 2019 young voices 2019 youngest person of the year 2019 young adult books 2019 young women theme 2019 young voices lyrics 2019. 14491 2 Matematik Kertas 12 2020 JABATAN PELAJARAN TERENGGANU MPP 3. Koleksi Kertas Soalan Peperiksaan Percubaan Matematik Mathematics SPM 2021 2020 2019 2018 Skema Jawapan.

MAT SPM JUN 2018 KERTAS 2pdf - Google Drive. KOLEKSI Soalan Peperiksaan Percubaan SPM Skema Jawapan Semua Subjek Terkini Di Bahagian. It also serves as a guidance for effective acquisation of the various mathematical skills.

Terima kasih kepada penyumbang soalan dan skema jawapan. A Rajah 71 menunjukkan titik K pada suatu satah CartesRajah 71 Penjelmaan P ialah satu pantulan pada garis y 1Penjelmaan R ialah putaran 90 ikut arah jam pada pusat 1 0Nyatakan koordinat imej bagi titik K di bawah penjelmaan berikut. JUJ2007 Mathematics MATHEMATICS SPM This module aims to prepare the Form five students for the SPM examination and also for the Form four students to reinforce as well as to enable them to master the selected topics.

Contoh Soalan Jawi Tahun 1 Kafa. 2019 Yang Formula Matematik Spm Pdf Soalan Matematik Tambahan Spm Dan Skema Jawapan 2019 Yang Tags. Soalan Addmath Percubaan Spm 2019.

Soalan Percubaan SPM Matematik Selangor 2019 adalah sebahagian kertas soalan yang telah berjaya dikumpulkan dan dikemaskini oleh kami. Soalan Perintah Am Dan Arahan Pentadbiran. Untuk Fasa 2 ianya akan diadakan dari 5 hingga 28 November 2019.

Soalan Percubaan SPM Matematik MRSM 2019 adalah antara bahan-bahan terbaik yang kami adaBahan yang terdapat di sini memenuhi keperluan Pentaksiran Berasaskan Sekolah yang dilaksanakan secara menyeluruh mengikut prinsip bahawa semua mata pelajaran yang terkandung dalam KSSM memainkan peranan yang penting bagi memenuhi keperluan jasmani. Koleksi Kertas Soalan Peperiksaan Sebenar Sijil Pelajaran Malaysia SPM dan Skema Jawapan. Click here for more info.

Matematik SPM 2019 Kertas 2 Soalan 13 January 18 2022. Koleksi soalan-soalan sebenar Peperiksaan Sijil Pelajaran Malaysia SPM 2019 2018 Skema Jawapan. Calon wajib menduduki semua kertas peperiksaan bagi mata pelajaran yang didaftar.

Untuk makluman pelajar tingkatan 5 akan menghadapi peperiksaan SPM tahun 2019 dari tarikh 4 November sehingga 4 Disember 2019. Murid tingkatan 5 akan menghadapi peperiksaan SPM dari 14 sehingga 17 Oktober 2019 untuk Fasa 1. Bank soalan ini diusahakan untuk memberi sedikit inputkemudahan kepada guru-guru untuk menyediakan soalan-soalan untuk peperiksaan SPM.

Koleksi Soalan Peperiksaan Sijil Pelajaran Malaysia SPM 2020 2021 2022 ini adalah alat latihan untuk mempersiapkan diri untuk Peperiksaan SPM untuk mendapatkan gred yang baik. View 1 Skema Percubaan Terengganu Matematik SPM 2020pdf from ENGINEERIN zk08 at National Defence University of Malaysia. View Bank-Item-Matematik-SPM-Tahun-2019-Matemati-Kertas-2-Set-1pdf from MATH 101 at Sekolah Menengah King George V.

SOALAN MATEMATIK SPM KSSM 2021. SPM 2021 SPM 2020 SPM 2019. Calon wajib menduduki semua kertas peperiksaan.

Contoh Soalan Isipadu Prisma. Soalan Matematik Tahun 5 Peratus. Bahasa Melayu BM Sejarah Matematik Bahasa Inggeris Fizik Kimia Matematik Tambahan Biologi Prinsip Perakaunan Sains Pendidikan Islam Pendidikan Moral.

Soalan Matematik Tingkatan 1 2020 Dan Jawapan Pdf. 2382019 - 2582019 10 PENDAHULUAN Unit Kurikulum Sekolah Menengah Ke. Contoh soalan psikometrik contoh soalan upsr contoh soalan objektif contoh soalan pt3 2019 contoh soalan upsr matematik contoh soalan perniagaan spm contoh soalan pembantu masyarakat contoh soalan daya menyelesaikan masalah contoh soalan ptd contoh soalan pt3 contoh soalan eq contoh soalan sbp.

Soalan Percubaan Spm 2019 Johor Kimia Elenlared. 2018 Papers 2019 Papers 2020 Papers. No 11 Soalan esei.

Bermula pada 2019 setiap isnin hingga jumaat saya akan memasukkan 5 latihan pelbagai bentuk soalan pt3 dan spm. Contoh Soalan Kuiz Pnb Sekolah Menengah. December 23 2021 by.

Cikgu Liza View my. 2019 2018 Skema Jawapan. Buat pengetahuan semua pelajar Tingkatan 5 bakal menduduki peperiksaan bertulis SPM tahun 2019 dalam dua fasa iaitu mulai 14 hingga 17 Oktober 2019 untuk Fasa 1 dan Fasa 2 dari 5 hingga 27 November 2019.

Jadual Waktu Peperiksaan Spm 2019 Exam Date - Permohonanmy via wwwpermohonanmy. LATIHAN ULANGKAJI SOALAN MATEMATIK SPM KSSM 2021 SPM 2021 LATIHAN ULANGKAJI TINGKATAN 5 SET 1 BAB TAJUK 1 UBAHAN 2 MATRIKS 3 MATEMAT. Soalan Kembangkan Ungkapan Algebra.

2019 N9 Matematik K1 Soalan Jawapanpdf. Soalan Matematik Tingkatan 1 2020 Dan Jawapan Pdf. Contoh Soalan Akhir Tahun.

Peperiksaan bertulis antara lain melibatkan kertas peperiksaan seperti Bahasa Melayu Bahasa Inggeris Matematik Matematik Tambahan Sejarah Pendidikan Islam Prinsip Perakaunan dan SainsSubjek lain yang bakal diduduki oleh pelajar. Calon dikehendaki memilih empat soalan. SULIT 1 14492 NAMA.

Soalan Percubaan SPM Matematik Terengganu 2019 adalah antara bahan-bahan terbaik yang kami adaBahan yang terdapat di sini memenuhi keperluan Pentaksiran Berasaskan Sekolah yang dilaksanakan secara menyeluruh mengikut prinsip bahawa semua mata pelajaran yang terkandung dalam KSSM memainkan peranan yang penting bagi memenuhi keperluan. Portal ini dibangunkan untuk membantu guru-guru pelajar dan ibubapa dalam proses pengajaran dan. Koleksi Soalan Peperiksaan Percubaan Matematik Skema Jawapan.

Related Posts To Soalan Sebenar Spm 2019 Bahasa Inggeris Soalan Sebenar Spm 2019 Bahasa Inggeris 2019-10-04T040200-0700 Rating.


Rumus Matematik Spm Pdf